Plus Two Maths Chapter 2 Inverse Trigonometric Functions Chapter Wise Question and Answers PDF Download: Students of Standard 12 can now download Plus Two Maths Chapter 2 Inverse Trigonometric Functions chapter wise question and answers pdf from the links provided below in this article. Plus Two Maths Chapter 2 Inverse Trigonometric Functions Question and Answer pdf will help the students prepare thoroughly for the upcoming Plus Two Maths Chapter 2 Inverse Trigonometric Functions exams.
Plus Two Maths Chapter 2 Inverse Trigonometric Functions Chapter Wise Question and Answers
Plus Two Maths Chapter 2 Inverse Trigonometric Functions question and answers consists of questions asked in the previous exams along with the solutions for each question. To help them get a grasp of chapters, frequent practice is vital. Practising these questions and answers regularly will help the reading and writing skills of students. Moreover, they will get an idea on how to answer the questions during examinations. So, let them solve Plus Two Maths Chapter 2 Inverse Trigonometric Functions chapter wise questions and answers to help them secure good marks in class tests and exams.
|
Board |
Kerala Board |
|
Study Materials |
Chapter wise Question and Answers |
|
For Year |
2021 |
|
Class |
12 |
|
Subject |
Mathematics |
|
Chapters |
Maths Chapter 2 Inverse Trigonometric Functions |
|
Format |
|
|
Provider |
How to check Plus Two Maths Chapter 2 Inverse Trigonometric Functions Question and Answers?
- Visit our website - https://spandanamblog.com
- Click on the 'Plus Two Question and Answers'.
- Look for your 'Plus Two Maths Chapter 2 Inverse Trigonometric Functions Question and Answers'.
- Now download or read the 'Class 12 Maths Chapter 2 Inverse Trigonometric Functions Question and Answers'.
Plus Two Maths Chapter 2 Inverse Trigonometric Functions Question and Answers PDF Download
We have provided below the question and answers of Plus Two Maths Chapter 2 Inverse Trigonometric Functions Chapter wise study material which can be downloaded by you for free. These Plus Two Maths Chapter 2 Inverse Trigonometric Functions Chapter Wise Question and answers will contain important questions and answers and have been designed based on the latest Plus Two Maths Chapter 2 Inverse Trigonometric Functions, books and syllabus. You can click on the links below to download the Plus Two Maths Chapter 2 Inverse Trigonometric Functions Chapter Wise Question and Answers PDF.
Question 1.
Prove the following:
Answer:
Question 2.
Find the value of![]()
Answer:
Question 3.
If tan-1x + tan-1y + tan-1z = π, show that x + y + z = xyz
Answer:
Given;
tan-1x + tan-1y + tan-1z = π
⇒ tan-1x + tan-1y = π - tan-1z
⇒ x + y + z = xyz.
Question 4.
Match the following
Answer:
Question 5.
Solve 2 tan-1(cos x) = tan-1(2 cos x)
Answer:
2 tan-1(cosx) = tan-1(2cosx)
⇒ \(\frac{2 \cos x}{1-\cos ^{2} x}\) = 2cosx
⇒ 1 = 1 - cos2 x ⇒ 1 = sin2x
⇒ x = ±\(\frac{\pi}{2}\).
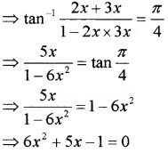
Question 6.
Solve the following
- 2tan-1(cosx) = tan-1(2cosecx)
- tan-12x + tan-13x = \(\frac{\pi}{4}\)
Answer:
1. 2tan-1(cosx) = tan-1(2cosecx)
2. tan-12x + tan-13x = \(\frac{\pi}{4}\)
⇒ (6x - 1)(x + 1) = 0
⇒ x = \(\frac{1}{6}\), x = - 1
Since x = - 1 does not satisfy the equation, as the LHS becomes negative. So x = \(\frac{1}{6}\).
Question 7.
Solve 2 tan-1(cos x) = tan-1(2 cos x)
Answer:
2 tan-1(cos x) = tan-1(2 cos x)
⇒ \(\frac{2 \cos x}{1-\cos ^{2} x}\) = 2cosx
⇒ 1 = 1 - cos2 x
⇒ 1 = sin2 x
⇒ x = ±\(\frac{\pi}{2}\)
Plus Two Maths Inverse Trigonometric Functions Four Mark Questions and Answers
Question 1.
Prove that \(\sin ^{-1} \frac{12}{13}+\cos ^{-1} \frac{4}{5}+\tan ^{-1} \frac{63}{16}=\pi\)
Answer:

Question 2.
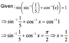
- Find the principal value of sec-1\(\left(-\frac{2}{\sqrt{3}}\right)\) (1)
- if sin\(\left(\sin ^{-1}\left(\frac{1}{5}\right)+\cos ^{-1}(x)\right)=1\), then find the value of x. (3)
Answer:
1. principal value of:
2. find the value of x:
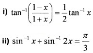
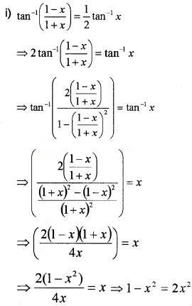
Question 3.
Solve the following
Answer:



The value x = -\(\frac{\sqrt{3}}{\sqrt{28}}\) makes the LHS negative, so rejected.
Question 4.
(i) Choose the correct answer from the bracket. cos(tan-1 x), |x| < 1 is equal to (1)
![]()
Answer:![]()


(draw a right triangle to convert ‘tan’ to ‘sin’).
Question 5.
(i) In which quadrants are the graph of cos-1 (x) lies, x ∈ [-1,1 ] (1)
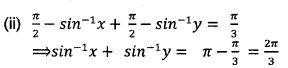
(ii) If cos-1x + cos-1y = \(\frac{\pi}{3}\), then
sin-1x + sin-1y = ……… (3)
(a) \(\frac{2 \pi}{3}\)
(b) \(\frac{\pi}{3}\)
(c) \(\frac{\pi}{6}\)
(d) \(\frac{\pi}\)
(iii) If tan-1x + tan-1y = \(\frac{\pi}{4}\) then prove that x + y + xy = 1 (2)
Answer:
(i) First and Second quadrant

⇒ x + y = 1 - xy ⇒ x + y + xy = 1.
Question 6.
(i) sin(tan-1(1)) is equal to

Answer:![]()

Plus Two Maths Inverse Trigonometric Functions Six Mark Questions and Answers
Question 1.
Show that sin-1\(\frac{3}{5}\) - sin-1\(\frac{8}{17}\) = cos-1\(\frac{84}{85}\).
Answer:

(draw a right triangle to convert ‘tan’ to ‘cos’).
Question 2.
(i) Choose the correct answer from the Bracket.
If cos-1x = y, then y is equal to (1)
(a) π ≤ y ≤ π
(b) 0 ≤ y ≤ π
(c) \(-\frac{\pi}{2}\) ≤ y ≤ \(\frac{\pi}{2}\)
(d) 0 ≤ y ≤ π
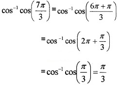
(ii) Find the value of cos-1 cos\(\left(\frac{7 \pi}{3}\right)\) (3)
(iii) Solve for x if, tan-1\(\left(\frac{1+x}{1-x}\right)\) = 2 tan-1x (2)
Answer:
(i) Range of cos-1x is [0, π] ⇒ 0 ≤ y ≤ π
(ii) Here \(\left(\frac{7 \pi}{3}\right)\) lie outside the interval [0, π].
To make it in the interval proceed as follows.

Plus Two Mathematics All Chapters Question and Answers
- Plus Two Mathematics Chapter Wise Question and Answers PDF
- Plus Two Maths Chapter 1 Relations and Functions Chapter Wise Question and Answers PDF
- Plus Two Maths Chapter 2 Inverse Trigonometric Functions Chapter Wise Question and Answers PDF
- Plus Two Maths Chapter 3 Matrices Chapter Wise Question and Answers PDF
- Plus Two Maths Chapter 4 Determinants Chapter Wise Question and Answers PDF
- Plus Two Maths Chapter 5 Continuity and Differentiability Chapter Wise Question and Answers PDF
- Plus Two Maths Chapter 6 Application of Derivatives Chapter Wise Question and Answers PDF
- Plus Two Maths Chapter 7 Integrals Chapter Wise Question and Answers PDF
- Plus Two Maths Chapter 8 Application of Integrals Chapter Wise Question and Answers PDF
- Plus Two Maths Chapter 9 Differential Equations Chapter Wise Question and Answers PDF
- Plus Two Maths Chapter 10 Vector Algebra Chapter Wise Question and Answers PDF
- Plus Two Maths Chapter 11 Three Dimensional Geometry Chapter Wise Question and Answers PDF
- Plus Two Maths Chapter 12 Linear Programming Chapter Wise Question and Answers PDF
- Plus Two Maths Chapter 13 Probability Chapter Wise Question and Answers PDF
Benefits of the Plus Two Maths Chapter 2 Inverse Trigonometric Functions Chapter Wise Question and Answers PDF
The Plus Two Maths Chapter 2 Inverse Trigonometric Functions Chapter Wise Question and Answers PDF that has been provided above is extremely helpful for all students because of the way it has been drafted. It is designed by teachers who have over 10 years of experience in the field of education. These teachers use the help of all the past years’ question papers to create the perfect Plus Two Maths Chapter 2 Inverse Trigonometric Functions Chapter Wise Question and Answers PDF.
0 comments:
Post a Comment